Feur_GOR Опубликовано 14 мая, 2006 Жалоба Поделиться Опубликовано 14 мая, 2006 Чем график производной отличается от графика изначальной функции??? Ссылка на комментарий Поделиться на другие сайты Поделиться
Dr. Death Опубликовано 14 мая, 2006 Жалоба Поделиться Опубликовано 14 мая, 2006 График производной показывает насколько быстро идёт приращение функции, т.е. насколько быстро она возрастает или убывает. Ссылка на комментарий Поделиться на другие сайты Поделиться
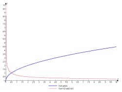
Siberex Опубликовано 15 мая, 2006 Жалоба Поделиться Опубликовано 15 мая, 2006 Вот наглядный пример. Синим показан график функции y=sqrt(2x) /корень из двух "икс"/ Красным - график её производной. Сначала идет резкое возрастание (приращение) функции, которое постепенно спадает и спадает, что и видно на графике производной. Ссылка на комментарий Поделиться на другие сайты Поделиться
Васильевич Опубликовано 15 мая, 2006 Жалоба Поделиться Опубликовано 15 мая, 2006 (изменено) max15: Чем график производной отличается от графика изначальной функции??? Наверное, для Вас важно то, что на графике производной периодического процесса - удвоенное число экстремумов, по сравнению с исходным графиком. Изменено 15 мая, 2006 пользователем Васильевич Ссылка на комментарий Поделиться на другие сайты Поделиться
Рекомендуемые сообщения
Для публикации сообщений создайте учётную запись или авторизуйтесь
Вы должны быть пользователем, чтобы оставить комментарий
Создать учетную запись
Зарегистрируйте новую учётную запись в нашем сообществе. Это очень просто!
Регистрация нового пользователяВойти
Уже есть аккаунт? Войти в систему.
Войти