Перейти к содержанию
СофтФорум - всё о компьютерах и не только

Правильно забить формулу в MS Excel.


ozi

Рекомендуемые сообщения

Помогите правильно забить формулу в MS Excel

Ребята сдеайте пожайлуста в Excel чтобы я догнал как правильно делать)

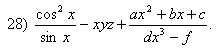
Вот эту формулу (Вариант # 28)________28.gif

post-45433-1260094935_thumb.gif

Ссылка на комментарий
Поделиться на другие сайты

Для публикации сообщений создайте учётную запись или авторизуйтесь

Вы должны быть пользователем, чтобы оставить комментарий

Создать учетную запись

Зарегистрируйте новую учётную запись в нашем сообществе. Это очень просто!

Регистрация нового пользователя

Войти

Уже есть аккаунт? Войти в систему.

Войти
  • Последние посетители   0 пользователей онлайн

    • Ни одного зарегистрированного пользователя не просматривает данную страницу
×
×
  • Создать...