THE OLD VERMIN Опубликовано 12 декабря, 2005 Жалоба Поделиться Опубликовано 12 декабря, 2005 Помогите, пожалуйста, кому не трудно, а то у меня уже башка заболела - плохо, когда не знаешь, да еще забудешь. Найти уравнение траектории т.А, которая в каждый момент движения находится вдвое дальше от т.В(5;0), чем от оси абсцисс. Ссылка на комментарий Поделиться на другие сайты Поделиться
Симаргл Опубликовано 13 декабря, 2005 Жалоба Поделиться Опубликовано 13 декабря, 2005 y=10, прямая параллельна оси X (обсцисса). Вот только насчет десятки не уверен... Если не правильно, суда подставить x-координату т. А Ссылка на комментарий Поделиться на другие сайты Поделиться
Тролль Опубликовано 13 декабря, 2005 Жалоба Поделиться Опубликовано 13 декабря, 2005 Соединив любую точку на плоскости с точкой B (она на оси абсцисс) и опустив с этой точки перпендикуляр на ось абсцисс, получаем прямоугольный треугольник. Отрезок, соединяющий точку с осью абсцисс - катет, соединяющий с точкой B - гипотенуза. По условию гипотенуза вдвое больше катета, то есть катет вдвое меньше гипотенузы. Катет, лежащий против угла в 30°, равен половине гипотенузы - это учат еще до тригонометрии. Значит, точки лежат на прямых, проходящих через точку B и составляющих с осью абсцисс 30°. Точки могут лежать как над осью абсцисс, так и под ней. То есть имеем две траектории, обе - прямые, проходящие через точку B и пересекающие в ней ось абсцисс под углом в 30°. При решении задачи с помощью тригонометрии будет использоваться синус: соотношение катета и гипотенузы равно 0,5, а синус, равный 0,5, соответствует углу в 30°. Решение на основе аналитической геометрии: √((х-5)^2+y^2) = 2*|y| (расстояние до точки - квадратный корень из суммы квадратов разностей координат, впрочем, это все та же теорема Пифагора, недаром он после ее открытия принес в жертву богам 100 быков) Отсюда (x-5)^2+y^2=4*y^2 3*y^2=(x-5)^2 √3*y=+-(x-5) y=+-(√3/3*x-5/√3) Это уравнение двух прямых с тангенсом угла наклона +-√3/3, то есть соответствующим углу в 30°. Ответ, естественно, тот же, что и при использовании чистой геометрии или тригонометрии. На всякий случай проверим: при y=0 будет х=5. Ссылка на комментарий Поделиться на другие сайты Поделиться
Симаргл Опубликовано 13 декабря, 2005 Жалоба Поделиться Опубликовано 13 декабря, 2005 Я был неправ! Тролль: молодец! Ссылка на комментарий Поделиться на другие сайты Поделиться
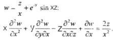
THE OLD VERMIN Опубликовано 15 декабря, 2005 Автор Жалоба Поделиться Опубликовано 15 декабря, 2005 А еще вот такой примерчик: и такой хотя бы направление... PS: Задание для 1 примера: Функция z=f(x,y) задана в неявном виде. Найти полный дифференциал функции dz Задание для 2 примера: Дана функция w-f(x,y,z). Показать, что справедливо указанное в задаче соотношение. Ссылка на комментарий Поделиться на другие сайты Поделиться
Тролль Опубликовано 15 декабря, 2005 Жалоба Поделиться Опубликовано 15 декабря, 2005 (изменено) THE OLD VERMIN По первой задаче: записываем неявную функцию в виде F(x,y,z)=0, находим частные производные по x и y по правилу дифференцирования неявных функций, записываем с их помощью полный дифференциал. См. прилагаемый рисунок. Со второй задачей у меня что-то не получилось. Вроде бы все шло нормально, но остался несократимый хвост (: . Кто виноват, хвост или я, неизвестно. P.S. По просьбе в ПМ выкладываю дополнительно выкладки по второму примеру, где равенство, которое просят доказать, не выполняется. Не исключено, что дело в неправильном прочтении нечеткого скана условия. Изменено 16 декабря, 2005 пользователем Тролль Ссылка на комментарий Поделиться на другие сайты Поделиться
Рекомендуемые сообщения
Для публикации сообщений создайте учётную запись или авторизуйтесь
Вы должны быть пользователем, чтобы оставить комментарий
Создать учетную запись
Зарегистрируйте новую учётную запись в нашем сообществе. Это очень просто!
Регистрация нового пользователяВойти
Уже есть аккаунт? Войти в систему.
Войти